El subdelegado del Gobierno, Miguel Latorre, subraya “la importancia de esta subvención para apoyar a los municipios más pequeños a afrontar estas situaciones sobrevenidas que desbordan su capacidad económica”.
La Secretaría general de Coordinación Territorial del Ministerio de Política Territorial y Memoria Democrática ha resuelto las subvenciones para la recuperación de daños en infraestructuras municipales, previstas en el Acuerdo de Consejo de Ministros del 5 de marzo de 2024, por el que se declaró “zona gravemente afectada por una emergencia de protección civil”, el territorio afectado como consecuencia de los incendios forestales, un incendio urbano, inundaciones y otros fenómenos de distinta naturaleza acecidos entre el 21 de junio de 2023 y 26 de febrero de 2024. En este caso, los daños se produjeron el 19 y 20 de enero de 2024, como consecuencia del paso de la borrasca “Juan”.
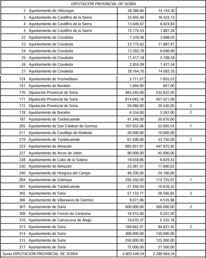
Afectó a las comunidades de la Rioja, Valencia y Castilla y León. El importe total del coste de las actuaciones de reparación que se han reconocido en la resolución asciende a 4.603.549,54 euros. En la provincia de Soria, son 2.289.964,24 euros los reconocidos a las entidades locales sorianas que han presentado solicitudes, en concreto, se han instruido 40 expedientes, 4 proyectos se han desestimado por duplicidad, no ser financiables o desistimiento y otros 36 han sido aprobados, correspondientes a reparaciones de daños sufridos fundamentalmente en caminos, calles e instalaciones deportivas y municipales.
Las reparaciones de las infraestructuras aprobadas por la subvención serán costeadas al 50%, con cargo a los Presupuestos Generales del Estado. El subdelegado del Gobierno, Miguel Latorre, subraya “la importancia de esta subvención sobre todo para los municipios más pequeños que, en estas situaciones sobrevenidas, ven desbordada su capacidad económica para afrontar el restablecimiento de las infraestructuras municipales dañadas”.
Desde que se produjo el grave episodio meteorológico, la unidad de Protección Civil de la Subdelegación de Soria ha realizado una intensa labor, primeramente, de valoración de daños en interlocución con los municipios afectados y con la Diputación Provincial de Soria, esta información nutrió la declaración de zona gravemente afectada. Posteriormente, con la publicación de la convocatoria de ayudas, se lleva a cabo una importante labor de asesoramiento e instrucción de los expedientes. Miguel Latorre agradece “el esfuerzo realizado por el personal de la unidad de Protección Civil de la Subdelegación para tramitar, en el menor tiempo posible, los expedientes”.

Únete al universo Soria Noticias Descárgate nuestra APP, entra en nuestro canal de WhatsApp o síguenos en redes.